|
【Chemical Name】Amantadine Hydrochloride
【Synonym】1-Aminoadamantane hydrochloride; Amantadine hydrochloride
【CAS No】665-66-7
【Molecular Formula】 C10H15NH2·HCl
【Molecular Weight】187.71
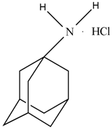
【Structural Formula】

【Properties】white crystal powder, odourless; soluble in water, ethanol and chloroform, unsoluble in the acetone.
【Specification】≥99% (GC)
【Packing】25kg/carton
【Storage&Transportation】Store in a tightly closed container. Store in a cool, dry, well-ventilated area away from incompatible substances. Avoid to contact water or moisture during Storing&Transporting.
【Usage】Use to make intermediate of antivirus mediclne for treating A2 type flu virus, Has antipyretic effect in the clinical pharmacology;Amend fremitus and anaesthesia of Parkinson's disease symptom.
|